Content mirrored for search engine indexing from:
https://github.com/glqglq/ml_dl_wiki/wiki/VAE-%E5%8F%98%E5%88%86%E8%87%AA%E7%BC%96%E7%A0%81%E5%99%A8
Why does this service exist?
VAE 变分自编码器 - glqglq/ml_dl_wiki GitHub Wiki
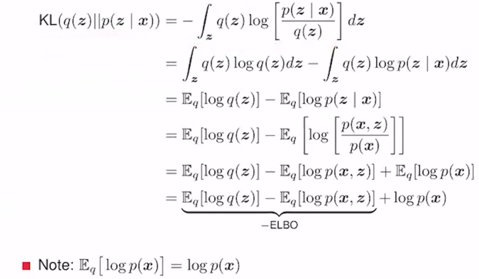
Loss推导:
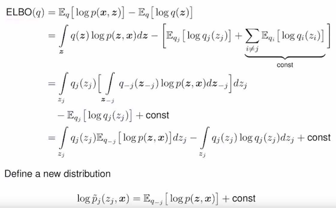
优化算法:坐标上升。
🗂️ Page Index for this GitHub Wiki