0098. Validate Binary Search Tree - chasel2361/leetcode GitHub Wiki
Given a binary tree, determine if it is a valid binary search tree (BST).
Assume a BST is defined as follows:
● The left subtree of a node contains only nodes with keys less than the node's key.
● The right subtree of a node contains only nodes with keys greater than the node's key.
● Both the left and right subtrees must also be binary search trees.
Example 1:
Input: [2,1,3]
Output: true
Example 2:
Input: [5,1,4,null,null,3,6]
Output: false
Explanation: The root node's value is 5 but its right child's value is 4.
這題的概念是二元搜尋樹,是二元樹的進階版,他多了題目所述的三個條件:
- 任一節點左子樹的所有節點值必小於該節點值
- 任一節點右子樹的所有節點值必大於該節點值
- 二元搜尋樹的左右子樹亦為二元搜尋樹
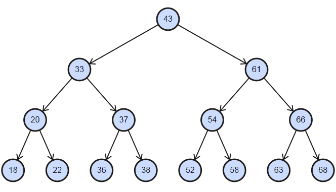
圖形大概會長這樣

簡單來說,在任一節點上只要往左走會變小、往右走會變大,如此儲存資料的方式可以達到 Binary Search 的效果。
因此在二元搜尋樹中,若要將資料從小至大排列必須使用中序 (In-Order) 的遍歷方式,In-Order的順序是左 → 中 → 右,要一路走到最左邊再開始慢慢往右走,實際的遍歷方式會像下圖一樣

按照這樣把每個值印出來的程式碼可以寫成這樣:
[1] 如果根不存在,那也沒什麼好印的,直接回頭
[2] 如果根存在,先往左子樹走
[3] 如果左子樹不存在,就印出根的值
[4] 往右子樹走,右子樹再開始從左子樹檢查,直到右子樹的右子樹不存在,才印出右子樹根的值
def InOrder(root):
if not root: return # [1]
InOrder(root.left) # [2]
print(root.val) # [3]
InOrder(root.right) # [4]
所以如果要判斷一棵樹是否為二元搜尋樹的話,就需要記住上一個節點的值,按著 In-Order的順序走時只要遇到當前節點值 ≤ 上一節點值就代表這不是二元搜尋樹,若走到最後都沒有出現問題,就代表這棵樹確實為二元搜尋樹。
[1] 確認根存在後先往左子樹走,如果左子樹的根不存在就往下一行去
[2] 判斷根的值是否大於暫存值,若是就往下走,否的話回傳 False
[3] 如果左子樹的根存在且小於等於暫存值,代表這棵樹不是二元搜尋樹,回傳 False
[4] 將暫存值更新
[5] 往右子樹去,回傳其判定
如此一來就會先往最左邊走,若判定全為 True 的話便會走到最右邊,再回傳 True
class Solution:
def __init__(self):
self.last = None
def isValidBST(self, root: TreeNode) -> bool:
if not root: return True
if not self.isValidBST(root.left): return False # [1], [3]
if self.last and root.val <= self.last.val: return False # [2]
self.last = root # [4]
return self.isValidBST(root.right) # [5]
這樣寫的時間複雜度是 O(N), 空間複雜度是 O(N) ,但可能會遞迴很多層
如果用迭代法來寫的話,會利用 stack 後進先出的特性來儲存走過的節點值,先不停地往左邊走,路過的都丟進 stack 裡,只到最左下角才開始跟暫存值比大小,通過後的話便往右子樹走,繼續往左確認暫存值
[1] 一開始沒有暫存值,先令其為負無限大
[2] 當 stack 以及 root 都不存在時就表示走完整棵樹了
[3] 當最左邊的值不存在時,就往上一階
[4] 往右一格,重複迴圈
class Solution:
def isValidBST(self, root: TreeNode) -> bool:
last = float('-inf') # [1]
stack = []
while stack or root: # [2]
while root:
stack.append(root)
root = root.left
root = stack.pop() # [3]
if root.val <= last:
return False
last = root.val
root = root.right # [4]
return True
這樣寫的時間複雜度是 O(N), 空間複雜度是O(N)
(最糟的狀況是每個資料都連在左子樹下面,全部都要丟進 stack 裡)