支持向量机 - ZYL-Harry/Mathematical_Modeling_Algorithms GitHub Wiki
支持向量机(Support Vector Machine)
介绍
深度学习流行之前,支持向量机是被广泛使用的分类算法
SVM有三宝:间隔、对偶、核技巧
SVM分类:
- hard-margin SVM
- soft-margin SVM
- kernel SVM
SVM本质上是一个判别模型,其函数及示例如图所示:

其中的直线可以设为判别模型:

目标:从这么多的分类直线中找出最好的(鲁棒性强的)一条直线
出发点:直线的鲁棒性,使其与样本点的距离足够大
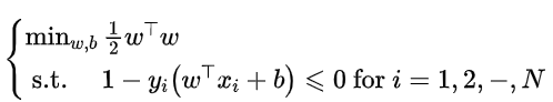
硬间隔SVM
模型定义
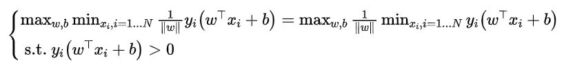
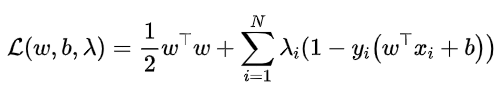
最大间隔器[max margin(w,b)],它基于公式

这个式子组可以进一步写成:

于是,为了得到最大间隔器,求得数据点与边界线的距离,并使该距离最小化,可以得到,
 \
\
得到该距离公式的方法为:
进一步化简并结合可以得到,

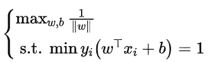
还可以提出这样的思想,

当γ=1时,就可以将之前的式子变化为:

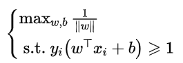
还可以将其中的约束条件由等式条件变换为不等式条件:

进一步化简可以得到:

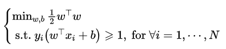
这样,便可以得到二次的最优化模型,其中包含有N个约束,这是一个凸优化模型——带约束的优化问题
模型求解
将上述的二次最优化模型的约束条件稍加变化边可以调整为:

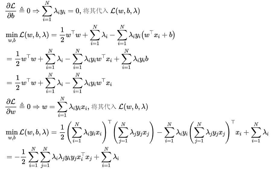
由此可以引入拉格朗日乘子,即:

然后可以将带约束的最优化模型简化为无约束的最优化模型:

这样变化的原理是:
可以把(w,b)作为一个大集合,将其中分为两部分来讨论:
所以,
又因为该模型属于二次凸优化模型+线性约束,所以满足强对偶关系,进一步将模型转化为,

强对偶与弱对偶
弱对偶:
强对偶:
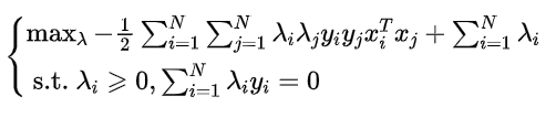
得到了对偶后的模型后,可以进一步简化,

于是可以得到模型:

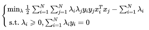
也可以将其转化为最小化来表达:

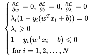
KKT条件
由于原题对偶情况下满足强对偶关系的充要条件是满足KKT条件,即

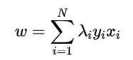
所以可以容易得到:w,即

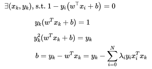
结合图,利用KKT条件的第一条可以知道,除了处于margin线上的点,其它的点所对应的λi=0,

于是,可以用KKT条件的第三条求解得到:b,即

b的求解过程:
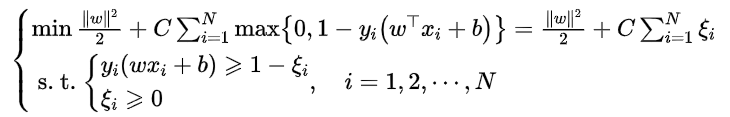
软间隔SVM
- 在实际问题中,有些数据是不可分的,或者有些数据是可分但存在一些噪声的,所以引入软间隔SVM来允许一些些错误(增加一些容错率)
 所以可以先假设对目标函数进行改写:
 原最优化模型为:
  
 可以将其目标函数改为:
  
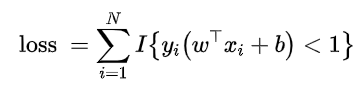
 其中loss是那个容错率,它有两种选择方案:
loss表示允许出现错误的点的个数:
于是,可以将loss定义为:
其中:
但是,这样得到的loss是不连续的,所以通常不采取这样的形式
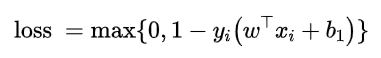
loss表示允许出现错误的距离:
所以,
于是,可以得到新的最优化模型:

而它的解的形式与硬件隔SVM解的形式是相同的,其系数w和b也是相同的,即


只不过:

libsvm软件包
参考链接
https://www.csie.ntu.edu.tw/~cjlin/libsvm/
SVM训练函数svmtrain
- 函数svmtrain用于创建一个SVM模型,其调用格式为:
 model=svmtrain(train_label,train_matrix,'libsvm_options');
model:训练好的SVM模型
train_model:训练集样本对应的类别标签
train_matrix:训练集样本的输入矩阵
libsvm_options:
-s svm类型:SVM设置类型(默认0)
0 — C-SVC; 1 –v-SVC; 2 – 一类SVM; 3 — e-SVR; 4 — v-SVR
-t 核函数类型:核函数设置类型(默认2)
0 – 线性核函数:u’v
1 – 多项式核函数:(ru’v + coef0)^degree
2 – RBF(径向基)核函数:exp(-r|u-v|^2)
3 – sigmoid核函数:tanh(ru’v + coef0)
-d degree:核函数中的degree设置(针对多项式核函数)(默认3)
-g gamma:核函数中的gamma函数设置(针对多项式/rbf/sigmoid核函数)(默认1/k,k为总类别数)
-r coef0:核函数中的coef0设置(针对多项式/sigmoid核函数)((默认0)
-c cost:设置C-SVC,e -SVR和v-SVR的参数(损失函数)(默认1)
-n nu:设置v-SVC,一类SVM和v- SVR的参数(默认0.5)
-p p:设置e -SVR 中损失函数p的值(默认0.1)
-m cachesize:设置cache内存大小,以MB为单位(默认40)
-e eps:设置允许的终止判据(默认0.001)
-h shrinking:是否使用启发式,0或1(默认1)
-wi weight:设置第几类的参数C为weight*C (C-SVC中的C) (默认1)
-v n: n-fold交互检验模式,n为fold的个数,必须大于等于2
以上这些参数设置可以按照SVM的类型和核函数所支持的参数进行任意组合,
如果设置的参数在函数或SVM类型中没有也不会产生影响,程序不会接受该参数;如果应有的参数设置不正确,参数将采用默认值。
SVM预测函数svmpredict
- 函数svmpredict用于利用已经建立的SVM模型进行仿真预测,其调用格式为:
 [predict_label,accuracy/mse,decision_values/prob_estimates]=svmpredict(test_label,test_matrix,model);
predict_label:预测得到的测试集样本的类别标签
accuracy/mse:测试集的分类准确率,如果未提供正确值时,此参数便不再需要考虑;回归的均方根误差、回归的平方相关系数,对于回归问题要关注的是后面的参数
decision_values/prob_estimates:一个矩阵包含决策的值或者概率估计。对于n个预测样本、k类的问题,如果指定“-b 1”参数,则n x k的矩阵,每一行表示这个样本分别属于每一个类别的概率;如果没有指定“-b 1”参数,则为n x k*(k-1)/2的矩阵,每一行表示k(k-1)/2个二分类SVM的预测结果。
test_label:测试集样本对应的类别标签
test_matrix:测试集样本的输入矩阵
model:已经训练好的SVM模型
MATLAB程序
对于分类&回归,SVM的算法流程基本一致:
- 产生训练集/测试集/实验集(需要分类与预测的数据集)
- 数据归一化
- 对训练集进行训练来创建SVM模型
- 对测试集进行SVM仿真测试
- 对实验集进行SVM分类与预测
- 对于回归(预测)问题,有两种类型:
 a. 对于基于对象属性的预测问题,提供的训练集的每个元素是一个向量,每个元素对应一个数值,则这种情况时可以在得到SVM模型后,通过输入一个向量元素作为对象的属性,来获得预测值
 b. 对于长时间的未来预测问题,提供的训练集的每个元素是时间t,每个时间对应一个数值,则这种情况时可以在得到SVM模型后,通过输入未来的时间,来获得未来该对象的变化情况










